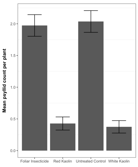
Kaolin particle films are having promising effects in managing Asian citrus psyllid, but they also have effects on photosynthesis. To help dig into this, a new member has joined our lab: Juanpablo Salvatierra Miranda, or “JP.” He’s 4 months into his first round of experiments, and he’s already made some important observations. He’s focusing on the how photosynthesis changes over the course of a day – “diurnal photosynthetic dynamics” – in response to kaolin particle films of different colors.

JP comes most recently from his native Chile, where he was working for a private agricultural research company. He has experience in horticulture of vegetables, wine grape, and citrus. His Master’s thesis will consider how different colored films affect growth and photosynthesis, as well as how these affect the development of huanglongbing symptoms in the field.



